| Krzysztof Onak | Tomasz Waleń |
| Treść zadania, Opracowanie | Program wzorcowy |
Bajtocka Agencja Turystyczna (w skrócie BAT) chce wejść na rynek oferując zwiedzanie Bajtogrodu autobusem-kabrioletem. Należy zbudować siedzibę firmy, w której będzie się zaczynało i kończyło zwiedzanie. Trasa zwiedzania musi przechodzić wszystkimi ulicami miasta, w przeciwnym przypadku turyści mogliby podejrzewać, że nie zobaczyli czegoś bardzo interesującego.
Ulice nie muszą być proste i mogą przebiegać tunelami lub wiaduktami. Wszystkie ulice są dwukierunkowe. Każda ulica łączy dwa skrzyżowania. Z każdego skrzyżowania w czterech kierunkach wychodzą ulice. Może się zdarzyć, że dwa skrzyżowania są połączone więcej niż jedną ulicą. Na ulicach nie wolno zawracać, ale można to robić na skrzyżowaniach. Ponadto wiadomo, że z każdego skrzyżowania da się dojechać do każdego innego.
Przy każdej ulicy, dokładnie w połowie drogi pomiędzy skrzyżowaniami, które łączy ulica, znajduje się szczególnie godna podziwu atrakcja turystyczna (np. piękny widok, pomnik lub inny zabytek), wywierająca na zwiedzających "`wrażenie'' określone nieujemną liczbą całkowitą. Siedziba BATu powinna znajdować się przy jednej z takich atrakcji.
Przy doborze trasy zwiedzania należy brać pod uwagę zainteresowanie turystów, które może się zmieniać w trakcie zwiedzania. Przejechanie autobusem jednej bajtomili powoduje spadek zainteresowania o jeden. Przejechanie po raz pierwszy obok danej atrakcji turystycznej zwiększa zainteresowanie turystów, o liczbę określająca wrażenie, jakie robi atrakcja. Początkowo poziom zainteresowania turystów jest równy wrażeniu, jakie robi atrakcja, przy której znajduje się siedziba BATu. Zainteresowanie turystów nie może w trakcie wycieczki nigdy spaść poniżej zera.
.
Skrzyżowania są ponumerowane od 1 do n, a ulice są
ponumerowane od 1 do 2n.
Kolejnych 2n wierszy opisuje ulice -
(i+1)-szy wiersz w pliku opisuje ulicę o numerze i.
W każdym wierszu znajdują się cztery liczby całkowite
a, b, l, s oddzielone pojedynczymi odstępami.
Liczby a i b to numery skrzyżowań, które łączy
dana ulica,
,
.
Liczba l jest parzystą liczbą całkowitą będącą długością ulicy w
bajtomilach,
.
Atrakcja turystyczna położona przy danej ulicy robi wrażenie
określone liczbą s,
.
4 1 2 4 6 2 4 2 4 3 2 4 2 4 3 10 8 2 1 8 7 4 3 2 1 1 4 2 6 3 1 4 5poprawną odpowiedzią jest plik wyjściowy zwi.out
TAK 8 5 2 2 6 3 1 8 4 7
W grafie nieskierowanym definiujemy cykl Eulera jako cykl przechodzący przez każdą krawędź grafu dokładnie raz. Rozpatrzmy graf, w którym wierzchołkami będą skrzyżowania, a krawędziami ulice. Nietrudno dostrzec, że istnieje w tym grafie cykl Eulera, ponieważ każdy wierzchołek ma parzysty stopień - z każdego skrzyżowania wychodzą cztery ulice. Znalezienie pewnej trasy przebiegającej po takim cyklu wydaje się być dobrym pomysłem, gdyż agencja turystyczna ,,traci'' wówczas najmniej z zadowolenia turystów. Tymczasem mamy:
Fakt:
W grafie opisanym przez poprawne dane wejściowe istnieje
cykl Eulera.
Weźmy teraz pewien cykl o długości k, gdzie k>2, z
wierzchołkami ponumerowanymi kolejno od 1 do k. Przypiszmy
każdemu wierzchołkowi pewną nieujemną liczbę - wierzchołkowi
nr i przyporządkowujemy liczbę wi. Niech li będzie
długością krawędzi od wierzchołka nr i do i+1, jeśli
i<k, albo do 1 w przeciwnym przypadku. Rozważamy teraz
następującą sytuację: wybieramy pewien wierzchołek i
obchodzimy cykl w kierunku zgodnym z numeracją
, wracając do punktu wyjściowego.
Przypuśćmy, że przejście krawędzi kosztuje tyle, co
jej długość, a w każdym wierzchołku otrzymujemy
zwrot kosztu wi dla tego wierzchołka.
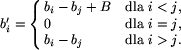
Niech
i przyjmijmy, że na początku dysponujemy kapitałem
równym 0. Wówczas prawdziwe jest następujące stwierdzenie:
Fakt:
Cykl można obejść zachowując zawsze nieujemne konto wtedy
i tylko wtedy, gdy
Dowód: Przypuśćmy najpierw, że cykl można
obejść w ten sposób. Wtedy bilans podróży wyrażający się
jako B musi być nieujemny. Teraz dowód
w drugą stronę. Zakładamy, że
.
Rozpocznijmy symulację w wierzchołku o numerze 1. Przechodzimy
cykl przy założeniu, że możemy mieć ujemny stan konta. Oznaczamy
przez bi stan konta już po dojściu do wierzchołka numer i,
ale jeszcze przed pobraniem wyznaczonej rekompensaty. Na starcie mamy
b1=0. Dla pewnego j otrzymujemy minimalną wartość bj.
Wierzchołek o numerze j będzie naszym nowym wierzchołkiem
startowym. Rozpoczynając drogę tym razem w j dostajemy
nowe wartości b'i takie, że:

Widać już teraz, że b'i nie może
być ujemne dla żadnego i, gdyż dla każdego i zachodzi
, czyli
.
Wracamy teraz do naszego zadania. Fakt 1 gwarantuje nam istnienie cyklu Eulera. W dowolnie znalezionym cyklu Eulera jako wierzchołki traktujemy teraz atrakcje turystyczne. Fakt 2 daje nam ostatecznie, że rozwiązanie zadania istnieje wtedy i tylko wtedy, gdy suma wrażeń dostarczanych przez atrakcje jest nie mniejsza od sumy długości ulic, a ponadto do znalezienia takiego rozwiązania można posłużyć się dowolnym cyklem Eulera. Możemy już zapisać główne kroki algorytmu rozwiązującego zadanie:
Punkt 2(a) można zrealizować przechodząc graf w głąb po nieodwiedzonych jeszcze krawędziach. Odpowiednia procedura może mieć następujący pseudokod:
| 1 | procedure euler(v); |
| 2 | begin |
| 3 | for w \iinSąsiedzi(v) do |
| 4 | if not odwiedzona[v-w] then |
| 5 | begin |
| 6 | odwiedzona[v-w]:=true; |
| 7 | euler(w); |
| 8 | DopiszKrawędź(v-w); |
| 9 | { dopisuje krawędź na koniec początkowo pustej listy } |
| 10 | end |
| 11 | end |
Podaną procedurę wywołujemy dla dowolnego wierzchołka, na przykład dla v=1. Nie trudno dowieść, że znajduje ona cykl Eulera. Przy sprawnym zaimplementowaniu ten krok algorytmu wymaga czasu O(n).
W implementacji punktu 2(b) algorytmu, można posłużyć się konstruktywnym dowodem faktu 2. Ta część algorytmu działa również w czasie O(n). Podsumowując, cały algorytm działa w czasie O(n).
Do oceny rozwiązań zawodników użyto kompletu 12 testów:
Testy zwi1a.in i zwi1b.in oraz zwi2a.in i zwi2b.in były zgrupowane. Różnice pomiędzy sumą wrażeń i sumą długości ulic były w testach niewielkie, a krawędzie w plikach znajdowały się w losowej kolejności.